Average Ratings 0 Ratings

Total
ease
features
design
support

No User Reviews. Be the first to provide a review:

Write a Review

Average Ratings 0 Ratings

Total
ease
features
design
support

No User Reviews. Be the first to provide a review:

Write a Review

Description

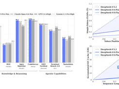
DeepSeek-V4-Flash is an optimized Mixture-of-Experts language model built for efficient large-scale AI workloads and fast inference. With 284 billion total parameters and 13 billion activated parameters, it delivers strong performance while maintaining lower computational demands compared to larger models. The model supports a massive context length of up to one million tokens, making it suitable for handling long-form content and multi-step workflows. Its hybrid attention mechanism improves efficiency by minimizing resource consumption while preserving accuracy. Trained on a dataset exceeding 32 trillion tokens, DeepSeek-V4-Flash performs well across reasoning, coding, and knowledge benchmarks. It offers flexible reasoning modes, enabling users to switch between quick responses and more detailed analytical outputs. The architecture is designed to support agentic workflows and scalable deployment environments. As an open-source model, it provides flexibility for customization and integration. Overall, DeepSeek-V4-Flash is a cost-effective and high-performance solution for modern AI applications.

Description

Reka Flash 3 is a cutting-edge multimodal AI model with 21 billion parameters, crafted by Reka AI to perform exceptionally well in tasks such as general conversation, coding, following instructions, and executing functions. This model adeptly handles and analyzes a myriad of inputs, including text, images, video, and audio, providing a versatile and compact solution for a wide range of applications. Built from the ground up, Reka Flash 3 was trained on a rich array of datasets, encompassing both publicly available and synthetic information, and it underwent a meticulous instruction tuning process with high-quality selected data to fine-tune its capabilities. The final phase of its training involved employing reinforcement learning techniques, specifically using the REINFORCE Leave One-Out (RLOO) method, which combined both model-based and rule-based rewards to significantly improve its reasoning skills. With an impressive context length of 32,000 tokens, Reka Flash 3 competes effectively with proprietary models like OpenAI's o1-mini, making it an excellent choice for applications requiring low latency or on-device processing. The model operates at full precision with a memory requirement of 39GB (fp16), although it can be efficiently reduced to just 11GB through the use of 4-bit quantization, demonstrating its adaptability for various deployment scenarios. Overall, Reka Flash 3 represents a significant advancement in multimodal AI technology, capable of meeting diverse user needs across multiple platforms.

API Access

Has API

API Access

Has API

Screenshots View All

Screenshots View All

Integrations

DeepSeek
DeepSeek-V4
Nexus
OpenClaw
Space
ZooClaw

Integrations

DeepSeek
DeepSeek-V4
Nexus
OpenClaw
Space
ZooClaw

Pricing Details

Free
Free Trial
Free Version

Pricing Details

No price information available.
Free Trial
Free Version

Deployment

Web-Based
On-Premises
iPhone App
iPad App
Android App
Windows
Mac
Linux
Chromebook

Deployment

Web-Based
On-Premises
iPhone App
iPad App
Android App
Windows
Mac
Linux
Chromebook

Customer Support

Business Hours
Live Rep (24/7)
Online Support

Customer Support

Business Hours
Live Rep (24/7)
Online Support

Types of Training

Training Docs
Webinars
Live Training (Online)
In Person

Types of Training

Training Docs
Webinars
Live Training (Online)
In Person

Vendor Details

Company Name

DeepSeek

Founded

2023

Country

China

Website

deepseek.com

Vendor Details

Company Name

Reka

Founded

2022

Country

United States

Website

www.reka.ai/news/introducing-reka-flash

Alternatives

Alternatives

GLM-4.5V-Flash Reviews

GLM-4.5V-Flash

Zhipu AI
GLM-4.6V Reviews

GLM-4.6V

Zhipu AI
GLM-4.1V Reviews

GLM-4.1V

Zhipu AI